首页
关于大智
企业文化
核心业务
集团党建
社会责任
大智资讯
行业要闻
AI咨询
联系我们
集团介绍
组织结构
名人名家
集团荣誉
大事记
定位
使命
愿景
核心价值观
升学规划
复读业务
党团服务
智惠党建
智惠团建
智惠妇联
智惠工会
智惠统战
党员公益
智学智爱
志愿之星
集团新闻
视频
媒体报道
行业动态
政策解读
沟通合作
人才引进
投诉建议
【干货】高中数学压轴题求最值常用10种方法
浏览次数:
发布日期:
2024-07-23 17:14:54
方法1:利用一次函数的单调性
方法2:利用二次函数的性质
方法3:利用二次方程的判别式
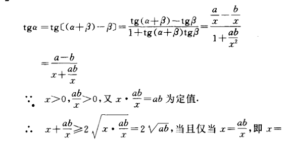
方法4:利用一些重要不等式求最值
方法5:利用三角函数的有界性求最值
方法6:利用参数换元求最值
方法7:利用图形对称性求最值
方法8:利用圆锥曲线的切线求最值
方法9:利用复数的性质求最值
方法10:利用数形结合方法求最值
鲁ICP备09031852号-5
地址:济南市泺源大街2号大众传媒大厦17层
联系电话:400-6328-766
集团企业邮箱
大智金复