数学选择题知识覆盖面广,要求解题熟练、灵活、快速、准确。现总结了以下十个选择题的答题技巧,帮助同学们提高答题效率及准确率。
1.排除法:利用已知条件和选项所提供的信息,从四个选项中剔除掉三个错误的答案,从而达到正确选择的目的。这是一种常用的方法,尤其是答案为定值,或者有数值范围时,取特殊点代入验证即可排除。
如下题,y=x为奇函数,y=sin|x|为偶函数,奇函数+偶函数为非奇非偶函数,四个选项中,只有B选项为非奇非偶函数,凭此一点排除ACD。
2.特殊值检验法:对于具有一般性的数学问题,在解题过程中,可以将问题特殊化,利用问题在某一特殊情况下不真,则它在一般情况下不真这一原理,达到去伪存真的目的。值得注意的是,特殊值法常常也与排除法同时使用。
如下题,代入特殊值0,显然符合,排除AD;代入x=-1显然不符,排除C。
3.极端性原则:将所要研究的问题向极端状态进行分析,使因果关系变得更加明显,从而达到迅速解决问题的目的。极端性多数应用在求极值、取值范围、解析几何、立体几何上面,很多计算步骤繁琐、计算量大的题,采用极端性去分析,就能瞬间解决问题。
如下题,直接取AB⊥CD的极端情况,取AB中点E,CD中点F,连结EF,令EF⊥AB且EF⊥CD,算出的值即最大值,无须过多说明。
4.顺推破解法:利用数学定理、公式、法则、定义和题意,通过直接演算推理得出结果的方法。如下题,根据题意,依次将点代入函数及其反函数即可。
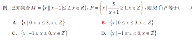
5.逆推验证法(代答案入题干验证法):将选项代入题干进行验证,从而否定错误选项而得出正确答案的方法。常与排除法结合使用。如下题,代入x=0,显然符合,排除AD;代入x=-1显然不符,排除C。选B。
6.正难则反法:从题的正面解决比较难时,可从选项出发逐步逆推找出符合条件的结论,或从反面出发得出结论,在做排列组合或者概率类的题目时,经常使用。
7.数形结合法:由题目条件,做出符合题意的图形或图象,借助图形或图象的直观性,经过简单的推理或计算,从而得出答案的方法。数形结合的好处就是直观,甚至可以用量角尺直接量出结果来。
如下题,作图后直接得出选项A符合。
8.递推归纳法:通过题目条件进行推理,寻找规律,从而归纳出正确答案的方法,例如分析周期数列等相关问题时,就常用递推归纳法。如下题,找找规律即可分析出答案。
9.特征分析法:对题设和选择项的特点进行分析,发现规律,归纳得出正确判断的方法。如下题,如果不去分析该几何体的特征,直接用一般的割补方法去做,会比较头疼。细细分析,其实该几何体是边长为2的正方形体积的一半,如此这般,不用算都知道选C。
10.估算法:有些问题,由于题目条件限制,无法(或没有必要)进行精准的运算和判断,此时只能借助估算,通过观察、分析、比较、推算,从面得出正确判断的方法。如下题,这种没办法解的方程,只能通过估算求解。当然,在可以使用计算器的情况下,估算也可以也精确,使用TABLE或者SOLVE功能,可计算约等于0.42。
【结语】以上方法要注意灵活运用,很多情况下都是需要穿插综合运用,不可拘泥于一法。另外,虽然本文选用的例题都是选择题,但是大部分方法在做填空题时,也是同样适用的,比如正难则反、数形结合、特征分析、递推归纳等,还是要灵活运用。
            
        









